Topic: Can you automatically solve this problem?
+Nugget Springroll !Uvm54ORbmo — 10.1 years ago #44,811
nuggets
+Anonymous B — 10.1 years ago, 2 minutes later[T] [B] #490,044
+Beebs !gINgerDI62 — 10.1 years ago, 7 hours later, 7 hours after the original post[T] [B] #490,056
@previous (B)
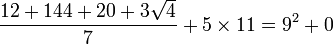
A dozen, a gross, and a score, plus three times the square root of four, devided by seven plus five times eleven is nine squared and not a bit more.
+The Asshole — 10.1 years ago, 1 hour later, 8 hours after the original post[T] [B] #490,060
@OP
Nuggets are the prime reason for FND?
Amirite?
·Nugget Springroll !Uvm54ORbmo (OP) — 10.1 years ago, 14 minutes later, 8 hours after the original post[T] [B] #490,062
@previous (The Asshole)
Fish Nugget Dish
yes
+Maddy !kCITGirlXc — 10.1 years ago, 3 minutes later, 8 hours after the original post[T] [B] #490,066

The answer is Sprite.
·The Asshole — 10.1 years ago, 1 minute later, 8 hours after the original post[T] [B] #490,067
@490,062 (Nugget Springroll !Uvm54ORbmo)
Oh, well, then I'm wrong. I was thinking Feral Nugget Disease.
·Nugget Springroll !Uvm54ORbmo (OP) — 10.1 years ago, 2 minutes later, 8 hours after the original post[T] [B] #490,068
@previous (The Asshole)
well that too
+Antikhristos !M6R0eWkIpk — 10.1 years ago, 9 hours later, 17 hours after the original post[T] [B] #490,185
Forced euthanasia... or some sort of dipping sauce.
Start a new topic to continue this conversation.
Or browse the latest topics.